Resumo
Las habilidades de alfabetización en salud se han convertido en un activo importante para mantener o mejorar nuestra salud. Los monitores de tiempo libre son agentes de salud que deben estar formados para transmitir este tipo de conocimientos.
El objetivo del estudio ha sido determinar el nivel de alfabetización en salud de los monitores de tiempo libre y su relación con variables socio demográficas.
Entre los principales resultados hemos encontrado un bajo nivel de alfabetización en salud de los monitores. Los hombres tienen un mayor nivel en la dimensión promoción de la salud, así como la capacidad para tomar decisiones sobre factores de riesgo relacionados con la salud. En los casados la capacidad es mayor en atención y cuidado de la salud y para entender información relacionada con la salud y comprender su significado. Los monitores que tienen vinculación profesional o formativa con el ámbito sanitario alcanzan una mayor puntuación en AS. Curiosamente la subdimensión acceder a la atención y cuidado en salud es mayor en el ámbito semirural que en el rural e incluso en el urbano y los monitores con estudios más bajos tienen mayor nivel de promoción de la salud y en las capacidades para procesar o evaluar la atención y cuidado de la salud. Los que tienen mayores ingresos tienen mayores niveles de AS en atención entender, atención procesar, promoción entender
Sería importante modificar los programas formativos de este colectivo para facilitar la consolidación de conocimientos y hábitos saludables.
Palabras clave:




¿INFLUYEN LAS VARIABLES SOCIODEMOGRÁFICAS EN EL NIVEL DE ALFABETIZACIÓN EN SALUD DE LOS MONITORES DE TIEMPO LIBRE EN LA COMUNIDAD AUTÓNOMA DE GALICIA?

Millán Brea Castro, Iago Portela-Pino, Myriam Alvariñas-Villaverde
¿INFLUYEN LAS VARIABLES SOCIODEMOGRÁFICAS EN EL NIVEL DE ALFABETIZACIÓN EN SALUD DE LOS MONITORES DE TIEMPO LIBRE EN LA COMUNIDAD AUTÓNOMA DE GALICIA?
Innovación Educativa, vol. 31, 2021
Universidade de Santiago de Compostela
DO SOCIODEMOGRAPHIC VARIABLES INFLUENCE THE LEVEL OF HEALTH LITERACY OF LEISURE TIME MONITORS IN THE AUTONOMOUS COMMUNITY OF GALICIA?
Copyright © Universidade de Santiago de Compostela
Esta obra está bajo una Licencia Creative Commons Atribución-NoComercial-SinDerivar 4.0 Internacional.
Recibido: 03/06/2021
Aceptado: 06 Octubre 2021
Resumen: Las habilidades de alfabetización en salud se han convertido en un activo importante para mantener o mejorar nuestra salud. Los monitores de tiempo libre son agentes de salud que deben estar formados para transmitir este tipo de conocimientos. El objetivo del estudio ha sido determinar el nivel de alfabetización en salud de los monitores de tiempo libre y su relación con variables sociodemográficas. Entre los principales resultados hemos encontrado un bajo nivel de alfabetización en salud de los monitores. Los hombres tienen un mayor nivel en la dimensión promoción de la salud, así como la capacidad para tomar decisiones sobre factores de riesgo relacionados con la salud. En los casados la capacidad es mayor en atención y cuidado de la salud y para entender información relacionada con la salud y comprender su significado. Los monitores que tienen vinculación profesional o formativa con el ámbito sanitario alcanzan una mayor puntuación en alfabetización en salud. Curiosamente la subdimensión acceder a la atención y cuidado en salud es mayor en el ámbito semirrural que en el rural e incluso en el urbano y los monitores con estudios más bajos tienen mayor nivel de promoción de la salud y en las capacidades para procesar o evaluar la atención y cuidado de la salud. Los que tienen mayores ingresos tienen mayores niveles de alfabetización en salud en atención entender, atención procesar, promoción entender. Sería importante modificar los programas formativos de este colectivo para facilitar la consolidación de conocimientos y hábitos saludables.
Palabras clave: alfabetización en salud; monitores; tiempo libre; formación.
Abstract: Health literacy skills have become an important asset in maintaining or improving our health. Leisure time monitors are health agents who must be trained to transmit this type of knowledge. The objective of the study was to determine the level of health literacy of the free time monitors and its relationship with socio-demographic variables. Among the main results we have found a low level of health literacy of the monitors. Men have a higher level in the health promotion dimension, as well as the ability to make decisions about health-related risk factors. In married people the capacity is greater in attention and health care and to understand health-related information and understand its meaning. Monitors who have professional or training links with the health field achieve a higher score in health literacy. Curiously, the subdimension access to health care and care is greater in the semi-rural area than in the rural area and even in the urban area, and the monitors with lower studies have a higher level of health promotion and in the capacities to process or evaluate the health care and care. Those with higher incomes have higher levels of health literacy in attention to understand, attention to process, promotion to understand. It would be important to modify the training programs of this group to facilitate the consolidation of knowledge and healthy habits.
Keywords: health literacy; monitors; free time; training.
1. MARCO TEÓRICO
En España, en la actualidad, la regulación respecto a la formación de monitores de tiempo libre carece de una centralización y regulación específica por parte del Estado (Rodrigo-Moriche, 2020), encontrándonos con diversos niveles y formaciones en el ámbito no formal, que no están reconocidas ni homologadas por las diversas comunidades autónomas. La mayor parte de ellas, se centra en una intervención con colectivos juveniles, aunque el ocio sea un derecho y una necesidad para todas las personas y colectivos sociales. La figura de monitor de tiempo libre, se entiende compleja, debido a los numerosos colectivos con los que puede llegar a trabajar, así como los contextos tan diversos en los que desarrollan sus actividades.
Con respecto a las funciones que realiza el educador en la Comunidad Autónoma de Galicia, el Decreto 50/2000, en su artículo 14, especifica que los cursos tendrán por objetivo la formación de personas capaces de realizar actividades socioculturales y recreativas, tanto en tiempo libre urbano como en la naturaleza. Por tanto, estos programas formativos deben capacitar para:
-
Detectar las necesidades de intervención en el tiempo libre de un grupo reducido de personas, conectándolo con su medio.
-
Animar, dinamizar y facilitar el desarrollo de un grupo de personas.
-
Diseñar, dirigir y ejecutar un taller.
-
Localizar recursos para el desarrollo de las actividades.
-
Participar en un proyecto de animación general, responsabilizándose de las tareas específicas que le son encomendadas.
En cuanto a duración y contenido, los cursos constarán de dos fases:
a) Fase teórico-práctica: tendrá una duración mínima de 200 horas lectivas. Esta fase se realizará siguiendo una metodología activa, dinámica y participativa.
No podrán desarrollarse en menos de veinte días, ni en jornadas de más de 10 horas diarias. El 80% de ellas corresponderán a los contenidos fijados en el programa mínimo establecido, y el 20% restante podrá dedicarse a impartir las enseñanzas complementarias específicas de cada escuela.
b) Fase de prácticas: se realizará una vez terminada la fase anterior. Constará de un mínimo de catorce días de actividad intensiva, que se realizará en campamentos, colonias, albergues, campos de trabajo y otros, en bloques no inferiores a tres días, o de 150 horas de actividad periódica en una entidad o asociación que trabaje en el campo de la educación en el tiempo libre.
La formación recibida en la mayor parte de los casos, es ambiciosa ya que se forman en áreas tan diversas como: psicosociología, animación, educación ambiental y naturaleza, educación para la salud y organización y gestión de recursos (Decreto 50/2000, 2000).
Esta formación se hace necesaria ya que el educador de tiempo libre es facilitador “del bienestar físico y emocional, y estimula una vida saludable, a la vez que expresa empatía y es capaz de ayudar a gestionar los conflictos en un contexto integrador y de apoyo” (Rodrigo-Moriche y Soler-Masó, 2019, p. 105).
En la Carta Internacional para la Educación del Ocio se recogen una serie de objetivos fundamentales que el personal que trabaje en el campo del ocio debe aplicar:
-
Entender el rol del ocio dentro de un hábitat humano cambiante.
-
Entender las nuevas tendencias sociales, medioambientales, técnicas y de comunicación, y llegar a conclusiones en cuanto a sus consecuencias para los sistemas de provisión de servicios de ocio.
-
Interpretar e integrar el papel de la educación del ocio en los diferentes escenarios profesionales de la sociedad; p. ej., escuelas, servicios de educación del ocio, deporte para todos, servicios culturales, servicios de ocio y turismo, medios de comunicación y otras agencias relevantes en el campo del ocio.
-
Garantizar el hecho de que la educación del ocio está relacionada, complementa y potencia otras actividades claves tales como programación, planificación, atención clínica, administración y actividades de intercesión comunitaria.
-
Entender la diversidad etnocultural de la sociedad al planificar servicios de educación del ocio.
-
Desarrollar conocimientos crossculturales y la habilidad de aplicar este conocimiento a programas de ocio, deporte, cultura, medios de comunicación y turismo.
-
Entender el papel de la educación del ocio en la promoción del desarrollo humano (p. ej. temas relativos al género, edad, poblaciones especiales) dentro de una sociedad plural en constante cambio.
Estos roles, encajan perfectamente con las características esperadas por los colectivos en los que trabaja el monitor de tiempo libre y, con el aprendizaje que a través de las escuelas de tiempo libre se estructura en sus diferentes módulos (Gorbeña et al., 1997).
Por lo tanto, se entiende que estamos ante un agente de intervención dentro de la educación no formal que fomenta la creatividad, la comunicación, la diversión y todos aquellos valores sociales que se entienden para el desarrollo de una comunidad activa y participativa (Peón, 2006).
La relación que los monitores de tiempo libre tienen tanto con la formación como, en su trabajo, con la educación para la salud es intensa. El ocio, como tiempo elegido de manera voluntaria fomenta el desarrollo de la persona y la vivencia de valores en sus múltiples campos (Cuenca, 2000). La salud y los hábitos saludables como contenido con diversos colectivos, no exclusivamente jóvenes, es pilar básico para poder desarrollar un ocio activo y que compense las dificultades generadas por el entorno social. Hemos de tener en cuenta que existe una relación significativa entre la alfabetización en salud (AS) y los comportamientos de salud de los adolescentes (Fleary et al., 2018) y en su calidad de vida (Khaleghi et al., 2019); por tanto, que los monitores tengan una formación en esta temática para poder transmitirla resulta de máximo interés social.
Los monitores de tiempo libre y actividades de ocio, en su acción con los grupos y en la implementación de las actividades, buscan a través del juego potenciar en las personas su capacidad empática, la autoconfianza, el respeto por los iguales y un bienestar físico y mental que se proyecte en su día a día (Sarrate Capdevila, 2008). El estudio de Ramos et al. (2012) pone de manifiesto los beneficios para la salud del tiempo libre, así como de las implicaciones prácticas para promoción de la salud. En esta línea Varela et al. (2016) ponen de manifiesto el papel socializador del ocio digital, la importancia del grupo de iguales y la familia, las prácticas de ocio nocturno y, sin embargo, la escasa participación de los adolescentes en actividades de acción social y voluntariado.
Los espacios donde se realizan las actividades de tiempo libre suelen ser entornos lúdicos, durante un tiempo intenso y continuado y que permite el desarrollo de actividades colaborativas, entre otras características; pero es necesario que los educadores estén preparados profesionalmente para organizar las actividades de ocio de los niños y adolescentes (Sadovaya et al., 2015). Los beneficios de practicar deportes y otras actividades de tiempo libre permiten a los jóvenes aprender hábitos saludables, habilidades sociales y para la vida (Lorenzo et al., 2019).
Además, los componentes físicos que se ejecutan en la mayor parte de las actividades realizadas por estos profesionales, favorecen la prevención y el desarrollo de la salud (Hernando Sanz, 2006). Por tanto, es imprescindible tener en cuenta a los monitores de tiempo libre como agentes de salud, promoviendo una práctica deportiva relacionada con el ocio activo y consciente, habilitada para todos los grupos de edad y ámbitos de actuación.
El concepto de AS ha evolucionado desde la década de 1970 hasta convertirse en la actualidad en objeto de estudio de diferentes disciplinas dado su impacto a nivel personal y social (Mancuso, 2008). Tal como señala la UNESCO (2017), la educación es una herramienta clave para la potenciación de la salud individual y colectiva. Por tanto, la AS es un desafío importante para las políticas y prácticas de salud.
Las habilidades de AS se conciben como un activo importante para mantener o mejorar nuestra salud. Las escasas habilidades de AS pueden ser una importante barrera para el acceso a la información y la atención médica, el uso de medicamentos y la prevención de enfermedades (Nutbeam, 2008). En el estudio de Pino-Juste (2020) podemos encontrar una justificación de la importancia de la AS en la sociedad actual.
Por ello, en este estudio hemos analizado el nivel de AS en los monitores de tiempo libre que ejercen su actividad en la Comunidad Autónoma de Galicia y su relación con variables personales.
2. MÉTODO
Se ha utilizado un diseño observacional transversal con una muestra intencional de los monitores de tiempo libre de la Comunidad Autónoma de Galicia con el fin de determinar su dominio de las diferentes capacidades y dimensiones de AS, así como establecer la asociación con variables de carácter sociopersonal.
Participantes
Los participantes en el estudio son 156 mujeres y 26 hombres con una edad media de 28,65 (Mín.=19; Máx.=50). El 96.2 % de los monitores de tiempo libre se forman en las escuelas de Tiempo Libre de Caritas, con sedes en las ciudades de Santiago de Compostela y Ourense, y la Escola ESTOU, con sede en el Campus Universitario de Ourense (Universidad de Vigo). También han participado en la encuesta monitores de las Escuelas de Tiempo Libre con sede en A Coruña (Aventeira, Recursos, Cruz Vermella Xuventude Galicia, Don Bosco), Lugo (Bulideira), Ourense (Don Bosco) y Pontevedra (Barlovento, Fervenza).
Instrumento
Las variables independientes que intentan determinar las características personales de los monitores han sido: sexo, estado civil, área de residencia, nivel educativo del monitor y de sus padres, nivel de ingresos mensuales, vinculación ámbito sanitario, valores culturales/religiosos y convivencia. En una segunda parte se mide la AS a través de la escala HLS-EU-Q47. Esta escala de autopercepción consta de 47 preguntas que permiten indagar sobre tres dimensiones diferentes: Tratamiento y cuidado de la salud, Prevención de la enfermedad, Promoción de la salud y cuatro capacidades: Acceder, Entender, Evaluar y Aplicar lo que produce una matriz con 12 subdimensiones de AS. En cada ítem se pregunta por el grado de dificultad que se encuentra cada participante en la realización de una tarea concreta en una escala de Likert con 4 categorías que oscilan entre el 1 y el 4.
La fiabilidad de la escala y de todas sus capacidades y dimensiones oscilan entre el 0.786 de aplicar y el 0.947 de la escala de AS.
Procedimiento
Los monitores han completado el instrumento enviado por mail a sus direcciones de correo durante el mes de octubre de 2020 cuando estábamos inmersos en plena pandemia derivada de la COVID-19. Su participación fue voluntaria y anónima y se solicitó su consentimiento informado respetando todos los procedimientos éticos para la recolección de datos, siguiendo los estándares deontológicos reconocidos por la Declaración de Helsinki (revisión de Fortaleza, Brasil, 2013) y de acuerdo con las recomendaciones de Buena Práctica Clínica de la CEE (documento 111/3976/88 de julio de 1990) y la normativa legal española vigente que regula la investigación.
Análisis de los datos
En primer lugar, se calcula la media, la desviación estándar y mínimos y máximos de las capacidades, dimensiones y subdimensiones que componen la escala de AS. Para verificar el supuesto paramétrico de normalidad se utilizó la prueba de Kolmogorov-Smirnov (p> 0.05). Solo se han incluido en el texto los resultados significativos para facilitar la comprensión de las tablas. Los análisis estadísticos se realizaron con el programa estadístico SPSS v. 23 (IBM Corp., 2012). El nivel de significación para todos los análisis fue p <0.05.
3. RESULTADOS
3.1. Perfil personal del monitor de tiempo libre en Galicia
La mayoría de las personas que ejercen actividad como monitor de tiempo libre son mujeres (85.7%) y están solteras (83,5%). En relación a su área de residencia, la mayoría de ellos vive en un entorno semirrural (poblaciones entre 10000 y 50000 habitantes) (45.1%), le siguen los que viven en el entorno rural (poblaciones menores de 10000 habitantes) (33%) y en el entorno urbano (poblaciones mayores de 50000 habitantes) viven solamente el 22%.
La inmensa mayoría han sido educados en valores religiosos ligados al cristianismo (82.4%).
El 67, 6% tiene estudios superiores (Licenciada/graduada, doctora), el 30,2 % estudios medios (Bachillerato o Formación Profesional de nivel superior) y el 2,2 % estudios básicos (estudios primarios, graduado escolar o Formación Profesional de grado medio). Los estudios de sus progenitores son básicos (padre=61, %; madre=53,8%) o medios (padre=30,2%; madre=31,3 %). Sin embargo, es mayor el porcentaje de madres con estudios superiores (14,8%) que de padres (8,8%).
La mayoría vive en familia con su pareja e hijos o familia extensa (64,3%) o en pareja (26,9%). Vive solo el 8,8 %. Sus ingresos mensuales son menores de 1500 euros al mes, e incluso el 37,9 % cobre menos de 500 euros al mes lo que indica una precarización en su actividad laboral principal y no tienen una titulación vinculada al ámbito sanitario (85.7%).
Descriptivos del perfil sociodemográfico de los monitores de tiempo libre

3.2. Análisis inferencial
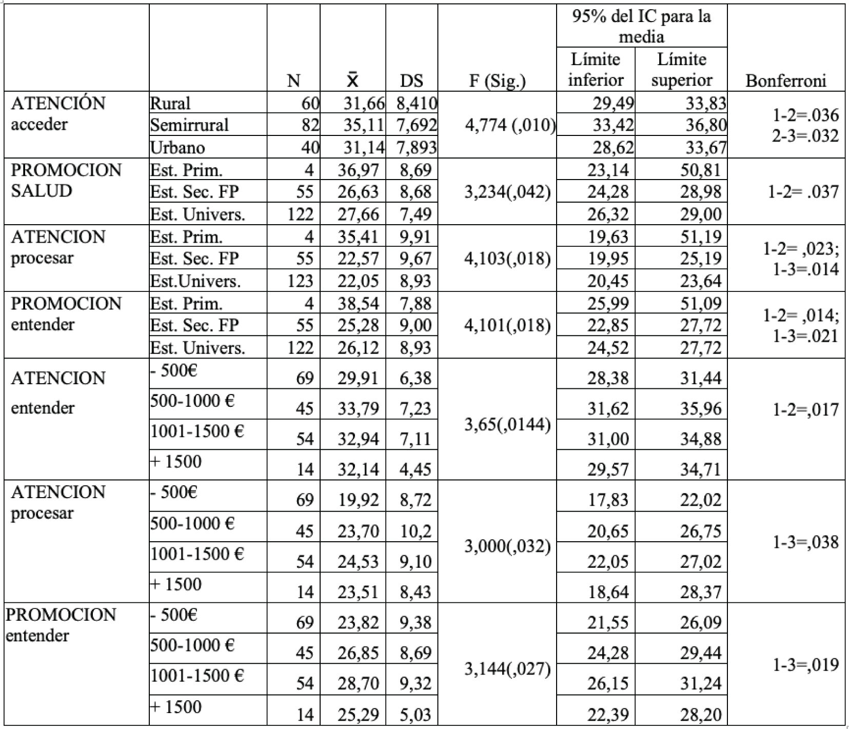
Si analizamos la asociación entre las diferentes variables independientes y las capacidades y dimensiones de AS nos encontramos que existen diferencias con respecto al sexo en la dimensión promoción de la salud, y en las subdimensiones prevención aplicar, que se refiere a tomar decisiones sobre factores de riesgo, y en promoción entender y promoción aplicar relacionadas con la comprensión y la toma de decisiones en función de la información sobre salud siendo mayor siempre en los hombres.
Si existen mayores diferencias si los monitores tienen alguna vinculación con el ámbito sanitario. De tal forma que aquellos que si tienen vinculación formativa o profesional con este ámbito alcanzan una mayor puntuación en las dimensiones atención y cuidado de la salud y prevención de la enfermedad, y también en las subdimensiones de atención procesar que se refiere a la capacidad para evaluar o procesar la información de salud; prevención acceder, prevención entender, prevención procesar que se refiere a la capacidad para acceder, comprender, evaluar y tomar decisiones factores de riesgo; y la capacidad de promoción entender, acceder a información relacionada con la salud y comprender su significado.
Con respecto al estado civil se han calculado las diferencias entre soltero y casado dado que solo hay 4 separados o viudo. En este caso es mayor en los casados las subdimensiones de atención y cuidado de la salud, sobre todo, atención acceder y atención procesar; y también promoción entender que se refiere a comprender el significado de la información relacionada con la salud.
Cálculo de t de Student para cada dimensión y capacidad en función de las variables dicotómicas

Vinc. Sant. = Vinculación con el ámbito sanitario
No hay diferencias en el nivel de alfabetización en función del área de residencia, salvo en la subdimensión atención acceder a la información sobre salud donde la media en el semirrural es mucho mayor que en el rural, pero también en el urbano.
No hay diferencias con respecto a los estudios de la madre ni del padre ni con respecto a con quien se convive.
Pero si hay diferencias con respecto al nivel de estudios del propio monitor de tal forma que los que tienen estudios más bajos tienen mayor nivel en la dimensión promoción de la salud, fundamentalmente en la subdimensión promoción entender la información sobre salud y la capacidad atención procesar relacionada con la capacidad para interpretar la información médica. Y los que tienen mayores ingresos tienen mayores niveles de AS en atención entender y atención procesar, y promoción entender el significado de la información en salud.
Cálculo de ANOVA para cada dimensión y capacidad en función de las variables politómicas sociodemográficas

Est. Prim.= Estudios Primarios; Est. Sec. FP.= Estudios secundarios o Formación profesional; Est.Univers.= Estudios Universitarios
4. DISCUSIÓN Y CONCLUSIONES
El estudio ha pretendido determinar el perfil sociodemográfico y el nivel de AS de los monitores de tiempo libre dada la intensa relación educativa que se establece con los educandos, normalmente en contextos no formales, y la importancia de estas capacidades no solo para el autocuidado sino para la formación sobre todo de niños y adolescentes que participan en campamentos, colonias, encuentros, cursos, entre otras actividades lúdicas.
Con respecto al perfil personal, la mayoría de las personas que ejercen actividades como monitor de tiempo libre son mujeres, están solteras, la mayoría de ellos vive en un entorno semirrural. La mayoría han sido educados en valores religiosos ligados al cristianismo, tiene estudios superiores y los estudios de sus progenitores son básicos. La mayoría vive en familia con su pareja e hijos o familia extensa. Sus ingresos mensuales son menores de 1500 euros al mes, e incluso cerca del 38% cobra menos de 500 euros al mes lo que indica una precarización en su actividad laboral principal y no tienen una titulación vinculada al ámbito sanitario.
Con respecto al segundo objetivo hemos constatado el bajo nivel de AS de los monitores de tiempo libre en Galicia. Las dimensiones de AS evaluadas han sido atención y cuidado de la salud (capacidad para acceder, comprender, evaluar y tomar decisiones sobre información médica), prevención de la enfermedad (capacidad para acceder, comprender, evaluar y tomar decisiones factores de riesgo) y promoción de la salud (capacidad para acceder, comprender, evaluar y tomar decisiones sobre información relacionada con la salud y comprender su significado). En los estudios que utilizan la HLS-EU, como es nuestro caso, se distinguen tres niveles de AS y se ha llevado a cabo en la población general en varios países. Normalmente, un tercio de la población tiene conocimientos de salud inadecuados o problemáticos (HLS-Consortium, 2012; Levin-Zamir et al., 2016; Lorini, et al., 2017).
En diferentes estudios se ha dejado patente la relación entre una baja AS y un mayor número de hospitalizaciones; mayor uso de la atención de emergencia; menor recepción de mamografías y vacunas; menor capacidad para tomar medicamentos de manera adecuada; menor capacidad para interpretar etiquetas y mensajes de salud; y, entre las personas mayores, un peor estado de salud general y tasas de mortalidad más altas (Beauchamp et al., 2015; Berkman et al., 2011; Levin-Zamir et al., 2016; Sorensen et al. 2015; Walters, et al., 2020).
La promoción de la salud es mayor en los hombres, así como la capacidad para tomar decisiones sobre factores de riesgo relacionados con la salud. En los casados la capacidad es mayor en atención y cuidado de la salud y para entender información relacionada con la salud y comprender su significado. Hay investigaciones que si encuentran diferencias con respecto al sexo (Kamberi et al., 2013; Manganello, 2008; Toçi et al., 2013) y otros que no (Jovic-Vranes et al., 2011).
Como era de esperar los monitores que tienen vinculación profesional o formativa con el ámbito sanitario alcanzan una mayor puntuación en todas las dimensiones y en casi todas las capacidades, menos en promoción de la salud donde no existen diferencias con aquellos que no tienen una vinculación con el sistema sanitario.
Curiosamente la subdimensión acceder a la atención y cuidado en salud es mayor en el ámbito semirrural que en el rural e incluso en el urbano. Y también es curioso que los monitores con estudios más bajos tienen mayor nivel de promoción de la salud y en las capacidades para procesar o evaluar la atención y cuidado de la salud.
Sin embargo, en otros estudios la baja AS suele estar relacionada con una mayor edad, menor escolaridad, menores ingresos familiares y áreas rurales (Beauchamp et al., 2015; Duplaga, 2020; Izadirad y Zareban, 2015; Lee et al., 2010; Levin-Zamir et al., 2016; Svendsen et al., 2020; Van Der Heide et al., 2013) aunque todavía no existen datos concluyentes.
En el estudio de Furuya et al. (2015) se ha relacionado el nivel de AS con factores demográficos como ingresos del hogar, situación laboral y nivel educativo concluyendo que la percepción de la salud y puntuaciones elevadas en AS se asocian significativamente con una edad más joven, tener empleo y mayor nivel educativo.
Los que tienen mayores ingresos tienen mayores niveles de AS en atención entender, atención procesar, promoción entender. Las condiciones sociales y socioeconómicas desfavorecidas contribuyen a niveles bajos de AS, y esta media la relación entre el nivel socioeconómico y el estado de salud, la calidad de vida y la salud específica (Stormacq et al., 2019). Por tanto, parece claro el papel mediador del AS en la relación entre las disparidades socioeconómicas y de salud por lo que mejorar el nivel de AS de la población colaboraría a lograr una mayor equidad en salud.
No hay diferencias con respecto a los estudios de la madre ni del padre ni con respecto a con quien se convive. Hemos de tener en cuenta que según May et al. (2018) que los padres con poca AS están más inclinados a sobreestimar la gravedad de la enfermedad y buscar atención antes para obtener respuestas sobre la enfermedad y las opciones de tratamiento, y a utilizar el servicio de urgencias cuando la cita estaba disponible a las pocas horas. Los padres con conocimientos de salud adecuados buscaban tranquilidad para el manejo de la enfermedad, valoraban las relaciones cercanas con su médico, y estaban dispuestos a esperar más para una cita.
En relación con la convivencia Beauchamp et al. (2015) encuentra un menor nivel de AS en aquellos individuos que viven solos.
5. CONCLUSIONES E IMPLICACIONES PRÁCTICAS
Todavía existen muchas discrepancias y controversias sobre las variables sociodemográficos que influyen en el nivel de AS en la población en general y en educadores en particular, sobre todo por la escasez de estudios en este colectivo concreto. Aunque parecen existir diferencias en algunas capacidades de AS en función del sexo, nivel de estudios, ingresos familiares o área de residencia.
Por tanto, siguiendo a Nutbeam y Lloyd (2021) consideramos que la formación debe centrarse en (a) mejorar la calidad de la comunicación sobre salud que llega a una diversidad de poblaciones, especialmente mejorando las habilidades y el apoyo profesionales de primera línea como los educadores; (b) capacitar a las personas para que desarrollen habilidades transferibles para acceder, comprender, analizar y aplicar la información sobre salud; y c) velar por que la prioridad sea proporcional a las necesidades, llegando y haciendo participar a los grupos de población que se ven afectados de manera desproporcionada por la baja alfabetización sanitaria.
Debemos tener claro tal como señalan Stormacq et al. (2019) y Nutbeam y Lloyd (2021) que la AS es un determinante intermedio de la salud, pero no una panacea para abordar las inequidades en salud creadas por la mala distribución de oportunidades y recursos.
Sería importante modificar los programas formativos que reciben los monitores de tiempo libre para facilitar la consolidación de hábitos y conocimientos en salud. Entre los contenidos que podrían incluirse en este programa podrían estar utilización adecuada de medicamentos, reconocimiento y diferenciación de síntomas graves, primeros auxilios, técnicas de comunicación y persuasión en salud, alimentación y actividad física, o funciones y utilización de los sistemas de salud, entre otras.
Mejorar la AS de los monitores puede ser una estrategia útil para reducir las disparidades en salud de la población al estar más informadas y mejorar la utilización de los servicios sanitarios poniendo en valor sus prestaciones para ofrecer un servicio de calidad.
Además, sería importante ampliar los estudios sobre la influencia de variables sociodemográficas en profesores y educadores de tal forma que permita un diseño de programas de formación permanente en función de sus características y necesidades.
6. REFERENCIAS BIBLIOGRÁFICAS
Beauchamp, A., Buchbinder, R., Dodson, S., Batterham, R. W., Elsworth, G. R., McPhee, C., ... y Osborne, R. H. (2015). Distribution of health literacy strengths and weaknesses across socio-demographic groups: a cross-sectional survey using the Health Literacy Questionnaire (HLQ). BMC public health, 15(1), 1-13. https://doi.org/10.1186/s12889-015-2056-z
Berkman, N. D., Sheridan, S. L., Donahue, K. E., Halpern, D. J. y Crotty, K. (2011). Low health literacy and health outcomes: an updated systematic review. Annals of internal medicine, 155(2), 97-107. https://doi.org/10.1059/0003-4819-155-2-201107190-00005
Cuenca Cabeza, M. (2000). Ocio humanista. Documentos de Estudio de Ocio, 16. Universidad de Deusto.
de Castro Cardoso, D. y González, M. C. (2008). Los educadores en el tiempo libre. Formación y cualificación. Papeles salmantinos de educación, 11, 307-330. https://doi.org/10.36576/summa.29457
Decreto 50/2000 (do 20 de xaneiro, polo que se refunde e actualiza a normativa vixente en materia de xuventude). DOG, nº 49. https://www.xunta.gal/dog/Publicados/2000/20000310/Anuncio62DE_es.html
Duplaga, M. (2020). Determinants and consequences of limited health literacy in polish society. International journal of environmental research and public health, 17(2), 642. https://doi.org/10.3390/ijerph17020642
Fleary, S. A., Joseph, P. y Pappagianopoulos, J. E. (2018). Adolescent health literacy and health behaviors: A systematic review. Journal of Adolescence, (62), 116-127. https://doi.org/10.1016/j.adolescence.2017.11.010
Furuya, Y., Kondo, N., Yamagata, Z. y Hashimoto, H. (2015). Health literacy, socioeconomic status and self-rated health in Japan. Health promotion international, 30(3), 505-513. https://doi.org/10.1093/heapro/dat071
Gorbeña, S., González, V. J. y Lázaro, Y. (1997). El derecho al ocio de las personas con discapacidad. Universidad de Deusto.
Hernando Sanz, M. Á. (2006). Calidad de vida, Educación Física y Salud. Revista española de pedagogía, 64(235), 453-463.
Izadirad, H. y Zareban, I. (2015). The Relationship of Health Literacy with Health Status, Preventive Behaviors and Health Services Utilization in Baluchistan, Iran. Journal of Education and Community Health, (2), 43-50. https://doi.org/10.20286/jech-02036
HLS-EU Consortium (2012). Comparative report on health literacy in eight EU member states. The European Health Literacy Survey HLS-EU. http://www.health-literacy.eu
Jovic-Vranes, A., Bjegovic-Mikanovic, V., Marinkovic, J. y Kocev, N. (2011). Health literacy in a population of primary health-care patients in Belgrade, Serbia. International journal of public health, 56(2), 201-207. https://doi.org/10.1007/s00038-010-0181-0
Kamberi, H., Hysa, B., Toçi, E., Jerliu, N., Qirjako, G. y Burazeri, G. (2013). Functional health literacy among primary health care users in transitional Kosovo. Med Arh., 67(5), 209-211. https://doi.org/10.5455/medarh.2013.67.209-211
Khaleghi, M., Amin Shokravi, F. y Peyman, N. (2019). The relationship between health literacy and health-related quality of life in students. Iranian Journal of Health Education and Health Promotion, 7(1), 66-73. https://doi.org/10.30699/ijhehp.7.1.66
Lee, S. Y. D., Tsai, T. I., Tsai, Y. W. y Kuo, K. N. (2010). Health literacy, health status, and healthcare utilization of Taiwanese adults: results from a national survey. BMC public health, 10(1), 614. https://doi.org/10.1186/1471-2458-10-614
Levin-Zamir, D., Baron-Epel, O. B., Cohen, V. y Elhayany, A. (2016). The association of health literacy with health behavior, socioeconomic indicators, and self-assessed health from a national adult survey in Israel. Journal of health communication, 21(sup2), 61-68. https://doi.org/10.1080/10810730.2016.1207115
Lorenzo, T., McKinney, V., Bam, A., Sigenu, V. y Sompeta, S. (2019). Mapping participation of disabled youth in sport and other free-time activities to facilitate their livelihoods development. British Journal of Occupational Therapy, 82(2), 80-89. https://doi.org/10.1177/0308022618817281
Lorini, C., Santomauro, F., Grazzini, M., Mantwill, S., Vettori, V., Lastrucci, V., ... y Bonaccorsi, G. (2017). Health literacy in Italy: a cross-sectional study protocol to assess the health literacy level in a population-based sample, and to validate health literacy measures in the Italian language. BMJ open, 7(11), e017812. https://doi.org/10.1136/bmjopen-2017-017812
Mancuso, J. M. (2008). Health literacy: a concept/dimensional analysis. Nursing & health sciences, 10(3), 248-255. https://doi.org/10.1111/j.1442-2018.2008.00394.x
Manganello, J. A. (2008). Health literacy and adolescents: A framework and agenda for future research. Health Education Research, 23(5), 840-847. https://doi.org/10.1093/her/cym069
May, M., Brousseau, D. C., Nelson, D. A., Flynn, K. E., Wolf, M. S., Lepley, B. y Morrison, A. K. (2018). Why parents seek care for acute illness in the clinic or the ED: the role of health literacy. Academic pediatrics, 18(3), 289-296. https://doi.org/10.1016/j.acap.2017.06.010
Nutbeam, D. y Lloyd, J. E. (2021). Understanding and responding to health literacy as a social determinant of health. Annual Review of Public Health, (42), 159-173. https://doi.org/10.1146/annurev-publhealth-090419-102529
Nutbeam, D. (2008). The evolving concept of health literacy. Social Science & Medicine, (67), 2072–2078. https://doi.org/10.1016/j.socscimed.2008.09.050
Peón, A. C. (2006). La formación de Educadores en el tiempo libre: campamentos y centros de vacaciones. Revista de estudios de Juventud, (72), 87-102.
Pérez-Fuentes, M. C., Molero, M. M., Oropesa, N. F., Martos, Á., Simón, M. M., Herrera-Peco, I., … y Gázquez, J. J. (2020). Questionnaire on Perception of Threat from COVID-19. J. Clin. Med., (9), 1196. https://doi.org/10.3390/jcm9041196
Pino-Juste, M. (2020). Alfabetización en salud: educar para mejorar los resultados en salud. En M. C. Pérez-Fuentes et al. (comps). Intervención en Contextos Clínicos y de la Salud. Nuevas realidades (pp. 101-110). Dykinson.
Ramos, P., Rivera, F. y Moreno, C. (2012). Beneficios del contexto asociativo en las actividades de tiempo libre de los adolescentes españoles. Infancia y Aprendizaje, 35(3), 365-378. https://doi.org/10.1174/021037012802238984
Rodrigo-Moriche, M. (2020). Los cursos de monitor de ocio y tiempo libre como una formación participativa, identitaria y emancipadora. RES. Revista de Educación Social, (30), 83-93.
Rodrigo-Moriche, M. P. y Soler-Masó, P. (2019). La formación del monitor de ocio y tiempo libre como una oportunidad para la adquisición de competencias sociales en las personas jóvenes. Papeles de Trabajo sobre Cultura, Educación y Desarrollo Humano= Working Papers on Culture, Education and Human Development, 15(3), 97-107.
Sadovaya, V. V., Khakhlova, O. N. y Reznikov, A. A. (2015). The formation of professional readiness of a social teacher to organization of children's leisure time activities. International Journal of Environmental and Science Education, 10(4), 595-602.
Sarrate Capdevila, M. L. (2008). Ocio y tiempo libre en los centros educativos. Bordón. Revista de Pedagogía, 60(4), 51-61.
Sørensen, K., Pelikan, J. M., Röthlin, F., Ganahl, K., Slonska, Z., Doyle, G., ... y Brand, H. (2015). Health literacy in Europe: comparative results of the European health literacy survey (HLS-EU). European journal of public health, 25(6), 1053-1058. https://doi.org/10.1093/eurpub/ckv043
Stormacq, C., Van den Broucke, S. y Wosinski, J. (2019). Does health literacy mediate the relationship between socioeconomic status and health disparities? Integrative review. Health promotion international, 34(5), e1-e17. https://doi.org/10.1093/heapro/day062
Svendsen, M. T., Bak, C. K., Sørensen, K., Pelikan, J., Riddersholm, S. J., Skals, R. K., ... y Torp-Pedersen, C. (2020). Associations of health literacy with socioeconomic position, health risk behavior, and health status: A large national population-based survey among Danish adults. BMC Public Health, (20), 1-12. https://doi.org/10.1186/s12889-020-08498-8
Toçi, E., Burazeri, G., Sorensen, K., Jerliu, N., Ramadani, N., Roshi, E. y Brand, H. (2013). Health literacy and socioeconomic characteristics among older people in transitional Kosovo. Journal of Advances in Medicine and Medical Research, 1646-1658. https://doi.org/10.9734/BJMMR/2013/3972
United Nations Educational, Scientific and Cultural Organization (UNESCO) (2017). Estrategia de la UNESCO sobre la educación para la salud y el bienestar: contribución a los Objetivos de Desarrollo Sostenible. https://unesdoc.unesco.org/ark:/48223/pf0000246453_spa
Van Der Heide, I., Wang, J., Droomers, M., Spreeuwenberg, P., Rademakers, J. y Uiters, E. (2013). The relationship between health, education, and health literacy: results from the Dutch Adult Literacy and Life Skills Survey. Journal of health communication, 18(sup1), 172-184. https://doi.org/10.1080/10810730.2013.825668
Varela, L., Gradaille, R. y Teijeiro, Y. T. (2016). Ocio y usos del tiempo libre en adolescentes de 12 a 16 años en España. Educação e Pesquisa, 42(4), 987-999. https://doi.org/10.1590/s1517-9702201612152404
Walters, R., Leslie, S. J., Polson, R., Cusack, T. y Gorely, T. (2020). Establishing the efficacy of interventions to improve health literacy and health behaviours: a systematic review. BMC public health, 20(1), 1-17. https://doi.org/10.1186/s12889-020-08991-0
ISSN: 1130-8656
Vol. 31
Num.
Año. 2021
¿INFLUYEN LAS VARIABLES SOCIODEMOGRÁFICAS EN EL NIVEL DE ALFABETIZACIÓN EN SALUD DE LOS MONITORES DE TIEMPO LIBRE EN LA COMUNIDAD AUTÓNOMA DE GALICIA?
MillánIagoMyriam Brea CastroPortela-PinoAlvariñas-Villaverde
Universidade de Vigo (España)Universidade de Vigo (España)Universidade de Vigo (España),EspañaEspañaEspaña
Outros datos estadísticos
Imaxes
Millán Brea Castro
Doctor en Ciencias de la Educación y Profesor Asociado en la Universidad de Vigo. Máster en Sexología. Sus publicaciones y líneas de investigación se centran en el campo de la intervención socioeducativa, deportes electrónico y salud.
Iago Portela-Pino
Department of Health Sciences, Faculty of Health Sciences, Isabel I University, 09003 Burgos, Spain
Grupo de Investigación en Educación Actividad física y salud (GIES-10) Instituto de Investigación Galicia Sur. SERGAS-UVIGO, 36312 Vigo, Spain; gies10@uvigo.es
Myriam Alvariñas-Villaverde
Doctora en Educación Física y Profesora en la Universidad de Vigo. Sus publicaciones se centran en el estudio de diferentes aspectos relacionados con el contexto de las actividades físicas y deportivas en edad escolar. Las líneas de investigación actuales están vinculadas a la Didáctica de la Educación Física, las cuestiones de género en el ámbito físico-deportivo, la alfabetización en salud y las competencias socioemocionales.



