Introduction
Birds are excellent biodiversity indicators because their population trends are affected by many ecological factors, such as the niche breadth () and the climatic niche (). They are very sensitive to environmental changes (; ; RUSSO, 2007), although sensitivity differs among species (; ). But also birds constitute a conspicuous and cosmopolite animal group generally easy to sample (). Due to these reasons, birds are commonly used as model species in long-term monitoring studies of diversity changes (; ; ) or population trends (; ).
Human-induced environmental changes are impacting biodiversity (; ; ; ), such as bird species richness and abundance (; ; ). For example, many western humanized areas have seen a gradual rural abandonment of traditional agriculture throughout the 20th century (; ; ; ), while others have experienced the process of industrial agricultural intensification (; ). As a consequence, in both cases, biodiversity levels might decrease as has already been observed in plant communities in different regions of Europe (; ; ; ) but also in bird communities (; ; ; ; ; ; ).
Over the last 50 years, rural Europe, and within it, the NW of the Iberian Peninsula, have undergone a strong process of rural abandonment. Within the natural region of northwestern Spain, O Courel (42° 34′ 59.99″ N, 7° 10′ 0.01″ W; 21,020 ha), the number of inhabitants was reduced (-60%) and with it, the livestock (-80%) and number of farmlands (-36%) decreased as well (; ). All these changes have modified vegetation patterns favoring woodland areas (; ), with an associated loss of bird diversity () which may be linked to a landscape homogenization (; ).
However, within O Courel region, areas which have not been cultivated remained stable, thus a vast majority of the region has not locally changed (). We do not know whether and how bird richness and abundance may have changed in the well-preserved areas of this region after a 37-year period. Analyzing changes in the richness and abundance of bird communities after several decades in well preserved plots in NW Iberia would help us understanding bird diversity trends at undisturbed sites, i.e. which have not undergone abandonment or industrialization.
We investigated changes in bird diversity and species trends after a long-term period in different habitats which have remained well preserved within O Courel region. Here, we assessed changes in overall bird species richness and abundance within five sites (two chestnut woodlands, a montane forest, a holm oak forest and a heathland) after 37 years, using data obtained from bird surveys performed in the same locations with the same methodology in July 1977 and July 2014. Bird populations might show different trends over time, and this could be related to their specific traits (; ; ; ; ). Thus, we additionally analyzed whether species phenotypes are related to the abundance trends of the 15 most abundant species overall in this area. We hypothesized that (i) the overall number of species and bird abundance varied after a 37-year period, (ii) and these changes may differ among sites, and (iii) changes in species abundances may be explained by bird phenotypic traits.
Materials and Methods
Study area
The study was performed in O Courel Mountains (Galicia, NW Spain), mostly located within the municipality of Folgoso de Courel (Lugo: 42° 35' 20" N -7° 11' 43" W; 193 km2), and part of the EU Natura 2000 network included in the “Ancares-Courel” Site of Community Importance (Nat-2000 Site Code ES1120001). Annual rainfall exceeds 1,500 mm, snow warnings are probable between November and April, and the annual average temperature oscillates between 8 and 10ºC, although it can even reach 23ºC (). About 750 species of higher plants are present in this 21,020-ha region, as well as, rare or very rare plant species in Galicia (). One of the most remarkable vegetal units are the heathlands covering 70% of the total surface, the common hawthorn woodlands (Crataegus monogyna) over the limestone outcrops; the montane mixed forests mainly composed by Pyrenean oaks (Quercus pyrenaica) and Holm oaks (Quercus rotundifolia Lam.) occupying 20% of the total area; but also the chestnuts woodlands (Castanea sativa). Furthermore, this region is home to 114 bird species (; ), and it is also important to mention the secular human presence in this area. The most notable human land uses were croplands on the less steep slopes, logging, and grazing activities in the scrubland areas ().
We selected 5 sites belonging to 4 habitats for this study (three different leaf deciduous forests and a heathland), mostly located in the Moreda valley, with the exception of the heathland in the Ferreirós valley: (1) Devesa da Rogueira (hereinafter montane forest) is a montane mixed forest (900 - 1,400 m.a.s.l.) with a dense undergrowth (Erica arborea and Vaccinium myrtillus) and a great tree diversity (Fagus sylvatica, Quercus petraea, Sorbus aucuparia and Taxus baccata; ). (2) Moreda’s holm oak forest (from now on, holm oak forest) is dominated by Quercus ilex subsp. rotundifolia L. on a limestone substrate (800 - 900 m.a.s.l.) and accompanying Quercus pyrenaica and Crataegus monogyna tree species. (3) De Lomba’s heathland (hereinafter, heathland) is mainly composed of Erica australis and Genista tridentata, growing on skeletal soil (1,200 - 1,400 m.a.s.l.) and forming very low but dense heaths due to consecutive fires. (4) Fuente Parada’s chestnut woodland and (5) Moreda’s chestnut woodland (hereinafter) are located on a valley floor slope (approximately 900 m.a.s.l.), primarily composed of Castanea sativa trees (see Table SIa, for more site details in Supplementary materials section).
Bird surveys
This study used bird survey data collected on July 1977 () and July 2014, using an identical methodology in the five locations (Data S1 in Supplementary materials section). The transects were surveyed in 1977 (3-8 times) and in 2014 (twice) following the same itinerary and walking the same distance (montane forest: 500 m; Holm oak forest: 530 m; heathland: 615 m; Parada’s chestnut woodland: 330 m; Moreda’s chestnut woodland: 360 m) with the exception of the holm oak forest since the original trail disappeared and an alternative route (156 m longer) was performed in the same forest plot in 2014 (Table SIb in Supplementary materials section). During each survey, all the individuals observed and heard within a 25-m band on each side of a finish transect were recorded maintaining a constant walking speed (). All the surveys were performed by expert ornithologists (José Guitián in 1977 and jointly Luis Salaverri in 2014) early in the morning and under windless and rainless weather conditions.
Bird traits
Bird phenotypic data were extracted from the “Life-history characteristics of European birds” open-access dataset () and available at Dryad: https://datadryad.org/stash/dataset/doi:10.5061/dryad.n6k3n. We selected 27 numeric trait variables with complete cases for all the 15 most abundant species in our study (Cyanistes caeruleus, Erithacus rubecula, Fringilla coelebs, Garrulus glandarius, Phylloscopus ibericus, Parus major, Prunella modularis, Periparus ater, Regulus ignicapilla, Sylvia atricapilla, Sitta europaea, Serinus serinus, Sylvia undata, Turdus merula, Troglodytes troglodytes). The phenotypic traits included were the mean bird length (cm); the mean wing length (mm), the mean tail length (mm), the mean bill length (mm), the mean tarsus length (mm), the mean weight during breeding (g), and the corresponding means of all these traits by sex. With regard to the reproductive traits, we considered the minimum, the maximum and the mean of clutch size (no. of eggs), the mean brood size per year (as the average no. of broods per breeding season), the mean length and mean width of the eggs (mm), the mean egg mass (g), the incubation period (as the average egg incubation period, days), the fledging period (as the average age of youngs when fledgling, days), the feeding independence (as the average age of youngs when being independent of parental feeding, days) and the age of first breeding (as the average age of first breeding event, years).
Statistical analyses
Changes in the number of species between years and among sites, were analyzed by a generalized linear model (GLM) where the response variable was the total number of bird species observed per site and year (n= 10), fitted to a normal error distribution with an identity-link function. Overall bird abundance differences between years and among sites were also analyzed by a generalized linear model (GLM) where the response variable was the sum of individuals recorded per site and year (n=10), corrected by the number of surveys (see Table SIb in Supplementary materials section) fitted to a normal error distribution with an identity-link function. In both models, year (1977 and 2014) and site (montane forest, holm oak forest, heathland, Parada’s and Moreda’s chestnut woodlands) were included as fixed effects. This approach allows us to analyze the global variation in the number of species and bird abundance between sites and between years (the objective of our study), and not only the variability of bird richness and abundance per site, in which case we would only have one annual replicate per site, both for overall species richness and bird abundance. In addition, number of species and birds per survey was low and not representative of each site (Supplementary Data S1). Thus, we aggregated richness and abundance data as the survey sum of species and individuals per site and year. This is why the interaction between site and year factors was not included in both models.
Considering the 15 most abundant bird species (i.e.10 or more individuals recorded; Table II, Fig. 1), we analyzed the abundance change between 1977-2014 and among the five study sites by constructing an independent generalized linear model (GLM) for each species, in which the response variable was the sum of individuals observed per site and year, corrected by the number of surveys (Table SIb in Supplementary materials section), fitted to a normal error distribution with an identity-link function and including the year and site as fixed effects.
For the analysis of the relationship between abundance changes and bird phenotypes, we first created a variable at the species level with three categories for the abundance change factor accordingly to the sign of the estimated year effect (“+”: species with statistically significant increase in abundance, “-”: species with statistically significant decrease in abundance, “ns”: species with non-significant change in abundance) based on the results of the per species abundance analysis explained above. Second, we selected 27 numeric avian phenotypic traits from Dryad open-source dataset (; see above bird traits sub-section for more details) to perform a Principal Component Analysis (PCA) for dimensional reduction. We extracted three Principal Components, with initial eigenvalues from the matrix of variance above 1.0 and which explained a total of 91.66% variance of 27 phenotypic traits among our 15 more abundant species (PC1: 72.33%; PC2: 15.38%; PC3: 3.95%). PC factor loadings were included in the Supplementary materials section (see Table SII).
Change in abundance per species as coded above (increase, decrease and non-significant change) in function of bird phenotypic traits was analyzed by means of a generalized linear model (GLM) in which the response variable was the factorial abundance change (three levels: increase in five species, decrease in three species, non-significant change in seven species) per species (n= 15), fitted to a multinomial error distribution with a log-accumulated link function (the total change in species abundance was analyzed in a similar manner and gave equivalent results, not shown). The scores of three Principal Components extracted from PCA were included as explanatory covariates (analyses of individual phenotypic traits were additionally tested and gave equivalent results, not shown).
All analyses were performed using the SPSS for Windows, version 25.0 (IBM CORP. 2017). Error distribution, link function and model's structure were chosen by means of the AICc criterion starting with saturated models ().
Results
Overall, 392 individuals of 31 bird species were recorded.
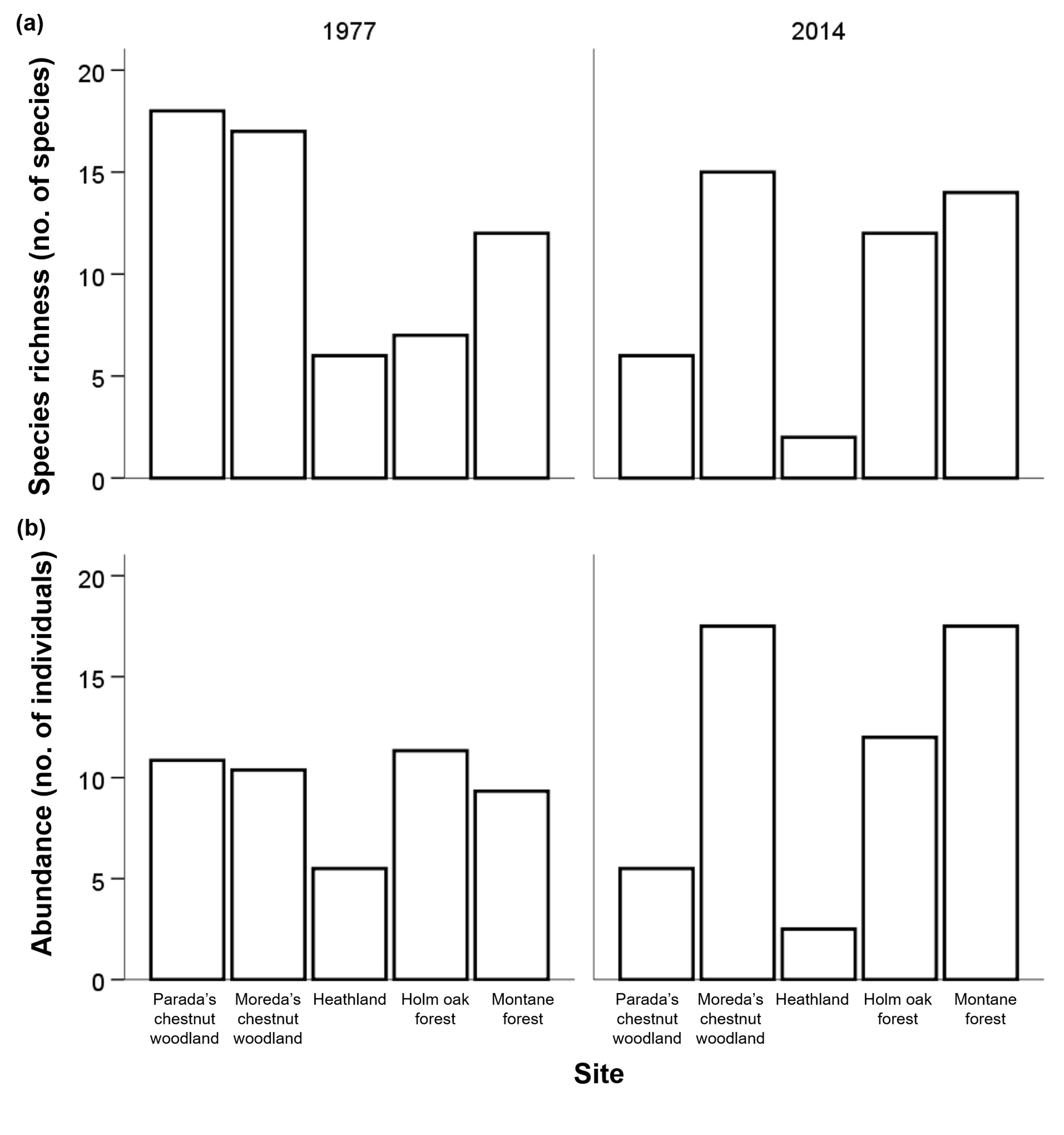
The number of bird species varied among sites but did not change overall from 1977 to 2014 (Table I, Fig. S1a). The heathland was the site with the lowest specific richness (6 species in total for both years). Similarly, the overall abundance of birds (sum of individuals per site and year corrected by the number of surveys) has not changed after the 37-year period although it differed among sites (Table I, Fig. S1b), being the heathland the site with lower bird abundance (8 birds in total for both years).
| Response variable | Fixed effects | Wald Chi-square | d.f. | P-value |
|---|---|---|---|---|
| Richness (no. of species) | Year | 1.434 | 1 | 0.231 |
| Site | 19.242 | 4 | 0.001 | |
| Abundance (no. of individuals) | Year | 0.802 | 1 | 0.370 |
| Site | 19.156 | 4 | 0.001 |
Among the 15 more abundant species (i.e. more than 10 individuals observed in both years), only eight species showed a change in their abundance over time and 13 species differed in their abundance among sites (Table II). In particular, the abundance of Cyanistes caeruleus, Garrulus glandarius, Parus major, Prunella modularis and Sylvia atricapilla increased between 1977-2014, and Erithacus rubecula, Phylloscopus ibericus, and Troglodytes troglodytes decreased in their abundances after the same 37-year period (Table II, Fig. 1). Among the seven species that did not differ in abundance between years: Fringilla coelebs, Periparus ater, Regulus ignicapilla, Sylvia undata and Turdus merula showed differences in the number of individuals detected per species among sites, as did the 8 species that varied in abundance over time (Table II, Fig. 1).
With regard to bird traits analysis, we did not find any relationship between the phenotypes of bird species (measured by PCA from the phenotypic space using 27 traits, Table SII in Supplementary section) and the specific change in species abundance over 37 years for the 15 more abundant species (Table SIII, Fig. 2).

Discussion
The overall number of bird species and individuals did not change after 37 years, in well-preserved areas from NW Spain (O Courel mountains) but we found specific changes in abundance of 8 of 15 most abundant species. These species specific trends may depend on their characteristics, their preferences for a certain land cover, their migration patterns or their biogeographical origin (). For example, species traits may determine their level of success in particular habitats, where certain level of specialization is required for breeding and surviving (; ; ). However, we did not find a relationship between species traits and abundance change in 15 most abundant bird species after 37 years, maybe due to the lack of sufficient phenotypic variation among these 15 species compared here.
We found differences in species richness and overall bird abundance among sites, being the heathland the site with the lowest number of species and abundance compared to the other sites. These differences observed among sites may be linked to differences in floristic composition and vegetation structure (; ; ), as well as, land cover (). Thus, the higher number of species observed corresponds to mature deciduous forests (i.e. with a more diverse plant community and complex vegetation structure): Moreda’s (20 species in total) and Parada’s (19 species) chestnut woodlands, the montane forest (17 species overall), and the holm oak forest (14 species in total), but the lowest species numbers was found in the heathland (6 species overall), the site with lower plant diversity and more simple vegetation structure. However, bird species numbers found in our mature deciduous forests were rather lower than those found in other NW Iberian forests (30-37 species; ; ; ), which may be explained by altitudinal differences with regard to our study sites, that have already accounted for a decrease in bird species at higher elevations (), specially forest-dwelling species (), but also by the landscape structure, in particular when considering the surrounding areas (). Thus, marked habitat differences among sites may explain the reduced number of bird species and abundance found in the heathland.
Moreover, the greater numbers of birds (as the sum of individuals per site and year corrected by the number of surveys) were found in the Moreda’s chestnut woodland (28 birds in total for both years), montane forest (27 birds in total), and the holm oak forest (23 birds in total), and these numbers are rather lower than those observed in the already mentioned NW Iberian forests (60-140 total birds; ; ; ). If we compare bird abundance among study sites, our results may suggest that mature deciduous forests could be acting as bird diversity reservoirs due to a possible landscape homogenization of the surrounding plots (), as a consequence of the ongoing farmland abandonment process (; ; ), but also the increase of woodland areas in this region (; ). These results may be supported by the fact that O Courel still maintains well preserved areas given the landscape heterogeneity provided by a mosaic of large patches, mainly dominated by leaf deciduous forests and scrublands ().
Therefore, the bird richness and abundance remained stable after 37 years at the study sites in O Courel Mountains, despite the specific changes in species trends of 8 most abundant species found within our study area. Although we were not able to analyze the effect of the year*site interaction (given the level of our analysis), it seems that these eight species specific trends might differ when we separate the change in species abundance by site (Fig. 1). One possible explanation to the specific changes in species abundance is the habitat preference of these species (). The forest-dwelling species (Cyanistes caeruleus, Garrulus glandarius, and Parus major) showed a generalized increase, which is consistent with the increased area occupied by forest in this well preserved region over the study period (; ). In contrast, bird species highly associated with the underbrush (such as Prunella modularis, Sylvia atricapilla, and Troglodytes troglodytes) have increased in the Moreda’s chestnut forest, the montane forest and the holm oak forest, which could indicate that the shrub substrate has increased in these deciduous forests. Surprisingly, Phylloscopus ibericus consistently decreased in all the study sites, which might be explained by the relevant population fluctuations of trans-Saharan migratory species observed (). Lastly, the general declined observed in Erithacus rubecula and Troglodytes troglodytes (excepting at the Moredas’s chestnut woodland), but also the site differences observed in other species with no changes over time (Fringilla coelebs, Periparus ater, Regulus ignicapilla, Sylvia undata and Turdus merula) are difficult to interpret, partly due to site-specific factors that could be acting at each site and promoting different dynamics of species population trends.
Finally, the absence of a significant effect of species phenotypic traits on the change in abundance experienced by the 15 most abundant species can be explained by the fact that these 15 species did not differ enough from each other (in the phenotypical space studied with 27 avian traits, which were mainly body size and breeding strategy) to detect a relationship of temporal patterns in species abundance and bird phenotypic traits. This result might suggest that different bird traits to that included in our species phenotypes analysis, could explain specific changes observed in our 15 species over time, such as the habitat preference or breeding habitat specialization (), but also migration distance (; ) or even biogeographical origin ().
Conclusions
To conclude, our study shows no changes in bird richness and overall bird abundance after 37 years in a well conserved mountain area of NW Iberia (O Courel) and finds changes in species specific trends (increasing trends in 5 from the 15 more abundant species, mainly forest-dwelling species, and decreasing trends in 3 species) which are unrelated to the species phenotypic traits. Our results indicate that bird communities in this well conserved region are maintaining their levels of overall diversity, despite possible site-specific shifts in species abundances. Further investigations in well preserved areas long-term linked to human presence will be relevant to understand the rate of change in biodiversity at local scales in the context of a globalized world.
References
1
Allen, D. C., Bateman, H. L., Warren, P. S., Albuquerque, F. S., Arnett‐Romero, S., & Harding, B. (2019). Long‐term effects of land‐use change on bird communities depend on spatial scale and land‐use type. Ecosphere, 10(11). https://doi.org/10.1002/ecs2.2952
2
3
Bas, S., Guitián, J. M., & Sobral, M. (2018). Biodiversity in Eucalyptus plantations versus native oak forests in Galicia: plants and birds. Nova Acta Científica Compostelana, 25, 71–81. https://revistas.usc.gal/index.php/nacc/article/view/5192
4
Batáry, P., Kurucz, K., Suarez‐Rubio, M., & Chamberlain, D. E. (2018). Non‐linearities in bird responses across urbanization gradients: A meta‐analysis. Global Change Biology, 24(3), 1046–1054. https://doi.org/10.1111/gcb.13964
5
Beilin, R., Lindborg, R., Stenseke, M., Pereira, H. M., Llausàs, A., Slätmo, E., Cerqueira, Y., Navarro, L., Rodrigues, P., Reichelt, N., Munro, N., & Queiroz, C. (2014). Analysing how drivers of agricultural land abandonment affect biodiversity and cultural landscapes using case studies from Scandinavia, Iberia and Oceania. Land Use Policy, 36, 60–72. https://doi.org/10.1016/j.landusepol.2013.07.003
6
Blair, R. B. (1999). Birds and butterflies along an urban gradient: Surrogate taxa for assessing biodiversity? Ecological Applications, 9(1), 164–170. https://doi.org/10.2307/2641176
7
Bowler, D. E., Bjorkman, A. D., Dornelas, M., Myers‐Smith, I. H., Navarro, L. M., Niamir, A., Supp, S. R., Waldock, C., Winter, M., Vellend, M., Blowes, S. A., Böhning‐Gaese, K., Bruelheide, H., Elahi, R., Antão, L. H., Hines, J., Isbell, F., Jones, H. P., Magurran, A. E., … Bates, A. E. (2020). Mapping human pressures on biodiversity across the planet uncovers anthropogenic threat complexes. People and Nature, 2(2), 380–394. https://doi.org/10.1002/pan3.10071
8
Brandt, J. S., Wood, E. M., Pidgeon, A. M., Han, L.-X., Fang, Z., & Radeloff, V. C. (2013). Sacred forests are keystone structures for forest bird conservation in southwest China’s Himalayan Mountains. Biological Conservation, 166, 34–42. https://doi.org/10.1016/j.biocon.2013.06.014
9
Buhk, C., Alt, M., Steinbauer, M. J., Beierkuhnlein, C., Warren, S. D., & Jentsch, A. (2017). Homogenizing and diversifying effects of intensive agricultural land-use on plant species beta diversity in Central Europe — A call to adapt our conservation measures. Science of The Total Environment, 576, 225–233. https://doi.org/10.1016/j.scitotenv.2016.10.106
10
Burnham, K. P., & Anderson, D. R. (2004). Multimodel Inference. Sociological Methods & Research, 33(2), 261–304. https://doi.org/10.1177/0049124104268644
11
Calviño-Cancela, M. (2013). Effectiveness of eucalypt plantations as a surrogate habitat for birds. Forest Ecology and Management, 310, 692–699. https://doi.org/10.1016/j.foreco.2013.09.014
12
Coetzee, B. W. T., & Chown, S. L. (2016). Land-use change promotes avian diversity at the expense of species with unique traits. Ecology and Evolution, 6(21), 7610–7622. https://doi.org/10.1002/ece3.2389
13
Corbelle-Rico, E., Crecente-Maseda, R., & Santé-Riveira, I. (2012). Multi-scale assessment and spatial modelling of agricultural land abandonment in a European peripheral region: Galicia (Spain), 1956–2004. Land Use Policy, 29(3), 493–501. https://doi.org/10.1016/j.landusepol.2011.08.008
14
Da Silveira, N. S., Niebuhr, B. B. S., Muylaert, R. de L., Ribeiro, M. C., & Pizo, M. A. (2016). Effects of land cover on the movement of frugivorous birds in a heterogeneous landscape. PLOS ONE, 11(6), e0156688. https://doi.org/10.1371/journal.pone.0156688
15
Díaz, L. (2006). Influences of forest type and forest structure on bird communities in oak and pine woodlands in Spain. Forest Ecology and Management, 223(1–3), 54–65. https://doi.org/10.1016/j.foreco.2005.10.061
16
Donald, P. F., Green, R. E., & Heath, M. F. (2001). Agricultural intensification and the collapse of Europe’s farmland bird populations. Proceedings of the Royal Society of London. Series B: Biological Sciences, 268(1462), 25–29. https://doi.org/10.1098/rspb.2000.1325
17
Escandell, V. (2013). Las aves agrarias sufren su propia crisis. Aves y Naturaleza, 13, 26–27. https://dialnet.unirioja.es/servlet/articulo?codigo=4876710
18
Flohre, A., Fischer, C., Aavik, T., Bengtsson, J., Berendse, F., Bommarco, R., Ceryngier, P., Clement, L. W., Dennis, C., Eggers, S., Emmerson, M., Geiger, F., Guerrero, I., Hawro, V., Inchausti, P., Liira, J., Morales, M. B., Oñate, J. J., Pärt, T., … Tscharntke, T. (2011). Agricultural intensification and biodiversity partitioning in European landscapes comparing plants, carabids, and birds. Ecological Applications, 21(5), 1772–1781. https://doi.org/10.1890/10-0645.1
19
Fonderflick, J., Besnard, A., & Martin, J.-L. (2013). Species traits and the response of open-habitat species to forest edge in landscape mosaics. Oikos, 122(1), 42–51. https://doi.org/10.1111/j.1600-0706.2012.20308.x
20
Fuller, R. J., Gregory, R. D., Gibbons, D. W., Marchant, J. H., Wilson, J. D., Baillie, S. R., & Carter, N. (1995). Population declines and range contractions among lowland farmland birds in Britain. Conservation Biology, 9(6), 1425–1441. https://doi.org/10.1046/j.1523-1739.1995.09061425.x
21
Fuller, R. J., Smith, K. W., Grice, P. V., Currie, F. A., & Quine, C. P. (2007). Habitat change and woodland birds in Britain: implications for management and future research. Ibis, 149(SUPPL. 2), 261–268. https://doi.org/10.1111/j.1474-919X.2007.00775.x
22
Gao, X., Liang, S., & He, B. (2019). Detected global agricultural greening from satellite data. Agricultural and Forest Meteorology, 276.277, 107652. https://doi.org/10.1016/j.agrformet.2019.107652
23
García, E., García-Rovés, P., Vigil Morán, A., Alonso, L. M., Fernández Pajuelo, M. A., Silva, G., Pascual, D., & Álvarez, D. (2014). Atlas de las aves nidificantes de Asturies (1990-2010) (First ed.). Coordinadora Ornitolóxica d’Asturies. https://doi.org/10.13140/2.1.4361.6962
24
Goded, S., Ekroos, J., Domínguez, J., Azcárate, J. G., Guitián, J. A., & Smith, H. G. (2019). Effects of eucalyptus plantations on avian and herb species richness and composition in North-West Spain. Global Ecology and Conservation, 19, e00690. https://doi.org/10.1016/j.gecco.2019.e00690
25
Guerrero, I., Morales, M. B., Oñate, J. J., Geiger, F., Berendse, F., Snoo, G. de, Eggers, S., Pärt, T., Bengtsson, J., Clement, L. W., Weisser, W. W., Olszewski, A., Ceryngier, P., Hawro, V., Liira, J., Aavik, T., Fischer, C., Flohre, A., Thies, C., & Tscharntke, T. (2012). Response of ground-nesting farmland birds to agricultural intensification across Europe: Landscape and field level management factors. Biological Conservation, 152, 74–80. https://doi.org/10.1016/j.biocon.2012.04.001
26
Guitián, J. A. (2006). La biodiversidad vegetal de O Caurel: unas 800 especies componen la flora de este macizo montañoso. Quercus, 1, 17–19. https://dialnet.unirioja.es/servlet/articulo?codigo=1986083
27
Guitián, J., Guitián, P., Magrach, A., Docampo, C., Domínguez, P., & Guitián, L. (2012). Effect of management and spatial characteristics on plant species richness of Castanea sativa Mill. woodlots in the NW Iberian Peninsula. Journal of Forest Research, 17(1), 98–104. https://doi.org/10.1007/s10310-011-0261-x
28
29
Herzon, I., Marja, R., Menshikova, S., & Kondratyev, A. (2014). Farmland bird communities in an agricultural landscape in Northwest Russia: Seasonal and spatial patterns. Agriculture, Ecosystems & Environment, 183, 78–85. https://doi.org/10.1016/j.agee.2013.10.015
30
31
Jetz, W., Wilcove, D. S., & Dobson, A. P. (2007). Projected impacts of climate and land-use change on the global diversity of birds. PLoS Biology, 5(6), e157. https://doi.org/10.1371/journal.pbio.0050157
32
Jiguet, F., Devictor, V., Ottvall, R., Van Turnhout, C., Van der Jeugd, H., & Lindström, Å. (2010). Bird population trends are linearly affected by climate change along species thermal ranges. Proceedings of the Royal Society B: Biological Sciences, 277(1700), 3601–3608. https://doi.org/10.1098/rspb.2010.0796
33
Kerr, J. T., & Currie, D. J. (1995). Effects of human activity on global extinction risk. Conservation Biology, 9(6), 1528–1538. https://doi.org/10.1046/j.1523-1739.1995.09061528.x
34
Lehikoinen, A., Brotons, L., Calladine, J., Campedelli, T., Escandell, V., Flousek, J., Grueneberg, C., Haas, F., Harris, S., Herrando, S., Husby, M., Jiguet, F., Kålås, J. A., Lindström, Å., Lorrillière, R., Molina, B., Pladevall, C., Calvi, G., Sattler, T., … Trautmann, S. (2019). Declining population trends of European mountain birds. Global Change Biology, 25(2), 577–588. https://doi.org/10.1111/gcb.14522
35
López-Bao, J. V., González-Varo, J. P., & Guitián, J. M. (2015). Mutualistic relationships under landscape change: Carnivorous mammals and plants after 30 years of land abandonment. Basic and Applied Ecology, 16(2), 152–161. https://doi.org/10.1016/j.baae.2014.12.001
36
MacDonald, D., Crabtree, J. ., Wiesinger, G., Dax, T., Stamou, N., Fleury, P., Gutierrez Lazpita, J., & Gibon, A. (2000). Agricultural abandonment in mountain areas of Europe: Environmental consequences and policy response. Journal of Environmental Management, 59(1), 47–69. https://doi.org/10.1006/jema.1999.0335
37
McGill, B. J., Dornelas, M., Gotelli, N. J., & Magurran, A. E. (2015). Fifteen forms of biodiversity trend in the Anthropocene. Trends in Ecology & Evolution, 30(2), 104–113. https://doi.org/10.1016/j.tree.2014.11.006
38
Morelli, F., Benedetti, Y., & Callaghan, C. T. (2020). Ecological specialization and population trends in European breeding birds. Global Ecology and Conservation, 22, e00996. https://doi.org/10.1016/j.gecco.2020.e00996
39
Munilla, I., López-Bao, J. V., González-Varo, J. P., & Guitián, J. M. (2008). Long-term changes in the breeding bird assemblages of two woodland patches in Northwest Spain. Ardeola, 55(2), 221–227. https://www.ardeola.org/es/volumenes/552/articulos/221-227/
40
Parody, J. M., Cuthbert, F. J., & Decker, E. H. (2001). The effect of 50 years of landscape change on species richness and community composition. Global Ecology and Biogeography, 10(3), 305–313. https://doi.org/10.1046/j.1466-822X.2001.00233.x
41
Payevsky, V. A. (2006). Mechanisms of population dynamics in trans-Saharan migrant birds: A review. Entomological Review, 86(S1), S82–S94. https://doi.org/10.1134/S001387380610006X
42
Redlich, S., Martin, E. A., Wende, B., & Steffan-Dewenter, I. (2018). Landscape heterogeneity rather than crop diversity mediates bird diversity in agricultural landscapes. PLOS ONE, 13(8), e0200438. https://doi.org/10.1371/journal.pone.0200438
43
Regos, A., Domínguez, J., Gil-Tena, A., Brotons, L., Ninyerola, M., & Pons, X. (2016). Rural abandoned landscapes and bird assemblages: winners and losers in the rewilding of a marginal mountain area (NW Spain). Regional Environmental Change, 16(1), 199–211. https://doi.org/10.1007/s10113-014-0740-7
44
Rosenvald, R., Lõhmus, A., Kraut, A., & Remm, L. (2011). Bird communities in hemiboreal old-growth forests: The roles of food supply, stand structure, and site type. Forest Ecology and Management, 262(8), 1541–1550. https://doi.org/10.1016/j.foreco.2011.07.002
45
Russo, D. (2006). Effects of land abandonment on animal species in Europe: Conservation and management implications. https://www.researchgate.net/publication/252335130
46
Salaverri, L., Guitián, J. M., Munilla, I., & Sobral, M. (2019). Bird richness decreases with the abandonment of agriculture in a rural region of SW Europe. Regional Environmental Change, 19(1), 245–250. https://doi.org/10.1007/s10113-018-1375-x
47
Şekercioğlu, Ç. H., Mendenhall, C. D., Oviedo-Brenes, F., Horns, J. J., Ehrlich, P. R., & Daily, G. C. (2019). Long-term declines in bird populations in tropical agricultural countryside. Proceedings of the National Academy of Sciences, 116(20), 9903–9912. https://doi.org/10.1073/pnas.1802732116
48
Seoane, J., Laiolo, P., & Obeso, J. R. (2017). Abundance leads to more species, particularly in complex habitats: a test of the increased population size hypotheses in bird communities. Journal of Biogeography, 44(3), 556–566. https://doi.org/10.1111/jbi.12877
49
Shivanna, K. R. (2020). The sixth mass extinction crisis and its impact on biodiversity and human welfare. Resonance, 25(1), 93–109. https://doi.org/10.1007/s12045-019-0924-z
50
Sirami, C., Brotons, L., Burfield, I., Fonderflick, J., & Martin, J.-L. (2008). Is land abandonment having an impact on biodiversity? A meta-analytical approach to bird distribution changes in the north-western Mediterranean. Biological Conservation, 141(2), 450–459. https://doi.org/10.1016/j.biocon.2007.10.015
51
Sirami, C., Brotons, L., & Martin, J.-L. (2007). Vegetation and songbird response to land abandonment: from landscape to census plot. Diversity and Distributions, 13(1), 42–52. https://doi.org/10.1111/j.1472-4642.2006.00297.x
52
Storchová, L., & Hořák, D. (2018). Life-history characteristics of European birds. Global Ecology and Biogeography, 27(4), 400–406. https://doi.org/10.1111/geb.12709
53
Suárez-Seoane, S., Osborne, P. E., & Baudry, J. (2002). Responses of birds of different biogeographic origins and habitat requirements to agricultural land abandonment in northern Spain. Biological Conservation, 105(3), 333–344. https://doi.org/10.1016/S0006-3207(01)00213-0
54
Tellería, J. L. (2019). Altitudinal shifts in forest birds in a Mediterranean mountain range: causes and conservation prospects. Bird Conservation International, 30(4), 1–11. https://doi.org/10.1017/S0959270919000455
55
Traba, J., & Morales, M. B. (2019). The decline of farmland birds in Spain is strongly associated to the loss of fallowland. Scientific Reports, 9(1), 9473. https://doi.org/10.1038/s41598-019-45854-0
56
Valero, E., Álvarez, X., & Picos, J. (2019). Connectivity study in Northwest Spain: barriers, impedances, and corridors. Sustainability, 11(18), 5124. https://doi.org/10.3390/su11185124
57
Verhulst, J., Báldi, A., & Kleijn, D. (2004). Relationship between land-use intensity and species richness and abundance of birds in Hungary. Agriculture, Ecosystems & Environment, 104(3), 465–473. https://doi.org/10.1016/j.agee.2004.01.043
Supplementary Materials

| Response variable | Factors | β | SE | Wald Chi-square | d.f. | P-value |
|---|---|---|---|---|---|---|
| Factorial abundance change | PC1 | -0.263 | 0.579 | 0.207 | 1 | 0.649 |
| PC2 | -0.908 | 0.595 | 2.325 | 1 | 0.127 | |
| PC3 | -0.490 | 0.571 | 0.735 | 1 | 0.391 |





